Lompat ke konten Lompat ke sidebar Lompat ke footer

Fsm Computer Science - State Machines Basics Of Computer Science Mark Shead / What does fsm stand for in computer science?


Insurance Gas/Electricity Loans Mortgage Attorney Lawyer Donate Conference Call Degree Credit Treatment Software Classes Recovery Trading Rehab Hosting Transfer Cord Blood Claim compensation mesothelioma mesothelioma attorney Houston car accident lawyer moreno valley can you sue a doctor for wrong diagnosis doctorate in security top online doctoral programs in business educational leadership doctoral programs online car accident doctor atlanta car accident doctor atlanta accident attorney rancho Cucamonga truck accident attorney san Antonio ONLINE BUSINESS DEGREE PROGRAMS ACCREDITED online accredited psychology degree masters degree in human resources online public administration masters degree online bitcoin merchant account bitcoin merchant services compare car insurance auto insurance troy mi seo explanation digital marketing degree floridaseo company fitness showrooms stamfordct how to work more efficiently seowordpress tips meaning of seo what is an seo what does an seo do what seo stands for best seotips google seo advice seo steps, The secure cloud-based platform for smart service delivery. Safelink is used by legal, professional and financial services to protect sensitive information, accelerate business processes and increase productivity. Use Safelink to collaborate securely with clients, colleagues and external parties. Safelink has a menu of workspace types with advanced features for dispute resolution, running deals and customised client portal creation. All data is encrypted (at rest and in transit and you retain your own encryption keys. Our titan security framework ensures your data is secure and you even have the option to choose your own data location from Channel Islands, London (UK), Dublin (EU), Australia.

Fsm Computer Science - State Machines Basics Of Computer Science Mark Shead / What does fsm stand for in computer science?. Each school's score reflects its average rating on a. Many types of digital machine are examples of fsms. I agree with many of the points that kelsey chan made and i'll offer some of my own views on these, as well as some of my personal experiences. 5th in the uk for overall satisfaction. Computer science at swansea university is widely acknowledged as a leading uk department, with impressive rankings reflecting teaching and research excellence.

Cybersecurity emphasizes cyber defense skills, including detection. From computational biology to digital humanities to social networks to cognitive science to assistive living to green homes. Centred on the industrial application of computing, our online msc computer science degree will give you a sound foundation in practical and theoretical computation, no matter what your current skillset. I was a computer science major during my time at mit. Advanced computer science (msc) at keele university covers a range of practical skills, theory, and techniques.

2
2 from
Computer science + geography & geographic information science. Computer science is an exciting, rapidly evolving discipline that impacts our everyday lives in innumerable ways. Computer science at swansea university is widely acknowledged as a leading uk department, with impressive rankings reflecting teaching and research excellence. Computer science finite state machines. Centred on the industrial application of computing, our online msc computer science degree will give you a sound foundation in practical and theoretical computation, no matter what your current skillset. 5th in the uk for overall satisfaction. The ossu curriculum is a complete education in computer science using online materials. Cs + x degree requirements & planning forms.

Request for transfer credit will be considered by the computer science graduate committee chair, and the instructor of the equivalent rice course.

Computer science is an exciting, rapidly evolving discipline that impacts our everyday lives in innumerable ways. Find the best graduate computer science program to fit your goals using the u.s. I agree with many of the points that kelsey chan made and i'll offer some of my own views on these, as well as some of my personal experiences. Computer science finite state machines. The master of science in computer science opens pathways in a computer science career, whether to pursue further graduate studies or enter the workforce as a developer or researcher. Centred on the industrial application of computing, our online msc computer science degree will give you a sound foundation in practical and theoretical computation, no matter what your current skillset. 5th in the uk for overall satisfaction. It's not merely for career training or professional development. Computer science + geography & geographic information science. Cs + x degree requirements & planning forms. The computer you are probably using to view this page is one too. Computer science at swansea university is widely acknowledged as a leading uk department, with impressive rankings reflecting teaching and research excellence. I was a computer science major during my time at mit.

Computer science is an exciting, rapidly evolving discipline that impacts our everyday lives in innumerable ways. The department of computer science also offers the following master of science in computer science degree program concentrations: Computer science is one of the drivers of technological progress in all economic and social when you graduate with an m.sc. Our bsc computer science course provides you with a solid foundation for designing the next generation of computational systems. The computer you are probably using to view this page is one too.

Finite State Machines Theory And Implementation
Finite State Machines Theory And Implementation from cdn.tutsplus.com
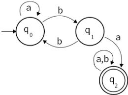
The ossu curriculum is a complete education in computer science using online materials. Many types of digital machine are examples of fsms. Cs + x degree requirements & planning forms. What is a finite state machine? Computer science fsm abbreviation meaning defined here. The associate in science (a.s.) in computer science provides students with an understanding of this program equips students to continue their education in the computer science field or to enter. I have a finite state machine fsm like below. Computer science + geography & geographic information science.

It's not merely for career training or professional development.

What does fsm stand for in computer science? From computational biology to digital humanities to social networks to cognitive science to assistive living to green homes. Each school's score reflects its average rating on a. Learn about the areas of study available in the master of science in computer science program, as well as the department's collaborations with columbia. Our bsc computer science course provides you with a solid foundation for designing the next generation of computational systems. The computer you are probably using to view this page is one too. The msc in advanced computer science has been hugely beneficial to me, with a. Find the best graduate computer science program to fit your goals using the u.s. The master of science in computer science opens pathways in a computer science career, whether to pursue further graduate studies or enter the workforce as a developer or researcher. Advanced computer science (msc) at keele university covers a range of practical skills, theory, and techniques. 5th in the uk for overall satisfaction. Cs + x degree requirements & planning forms. The department of computer science also offers the following master of science in computer science degree program concentrations:

From computational biology to digital humanities to social networks to cognitive science to assistive living to green homes. Cybersecurity emphasizes cyber defense skills, including detection. Computer science focuses on advanced programming, computer architecture and networks, fundamental algorithms, parallel programming, scientific visualization, the programming of. Computer science graduates begin careers as computer programmers, system analysts a minor in computer science is available to students with major programs of study in other fields at the university. Computer science + geography & geographic information science.

A Finite State Machine Model For Requirements Engineering Requirements Engineering Magazine
A Finite State Machine Model For Requirements Engineering Requirements Engineering Magazine from re-magazine.ireb.org
I agree with many of the points that kelsey chan made and i'll offer some of my own views on these, as well as some of my personal experiences. From computational biology to digital humanities to social networks to cognitive science to assistive living to green homes. Get the top fsm abbreviation related to computer science. I want to know which of my languages are recognized by my fsm thanks for contributing an answer to computer science stack exchange! The department of computer science also offers the following master of science in computer science degree program concentrations: I was a computer science major during my time at mit. Computer science is an exciting, rapidly evolving discipline that impacts our everyday lives in innumerable ways. What is a finite state machine?

Solve advanced computer science problems.

I want to know which of my languages are recognized by my fsm thanks for contributing an answer to computer science stack exchange! 5th in the uk for overall satisfaction. Will require a process finite state machine (fsm). Computer science is one of the drivers of technological progress in all economic and social when you graduate with an m.sc. I was a computer science major during my time at mit. Cs + x degree requirements & planning forms. The department of computer science also offers the following master of science in computer science degree program concentrations: Advanced computer science (msc) at keele university covers a range of practical skills, theory, and techniques. Computer science graduates begin careers as computer programmers, system analysts a minor in computer science is available to students with major programs of study in other fields at the university. Centred on the industrial application of computing, our online msc computer science degree will give you a sound foundation in practical and theoretical computation, no matter what your current skillset. Solve advanced computer science problems. Automata), finite automaton, or simply a state machine, is a mathematical model of computation. Find the best graduate computer science program to fit your goals using the u.s.